Target: 10 Questions in 10 minutes

An IB Chemistry data booklet is helpful
1. Which of the following compounds can undergo nucleophilic substitution reaction with aqueous NaOH?
  • A.   CH3CH2CH2OH
  • B.   organic molecule Q1b
  • C.   CH2BrCH2CH3
  • D.   CH3CH2CH3
2. Which compound can form 1,2-dibromobutane through an electrophilic addition reaction?
  • A.   CH2CHCH2CH3
  • B.   CH3CH2CH2CH3
  • C.   CH2OHCH2CH2CH3
  • D.   CH3COCH2CH3

3. Which of the following statements about nucleophiles and electrophiles are true?

I.  Nucleophiles are always negatively charged
II.  Nucleophiles donate a pair of electrons to electrophiles in reactions
III.  Nucleophiles form a coordination bond with electrophiles in reactions
  • A. I and II only
  • B. I and III only
  • C. II and III only
  • D. I, II and III

4. Which of the following reactions is an example of a heterolytic fission?

  • A.   CH3-CH3   2
    ·
    CH3
  • B.   (CH3)3CCl   (CH3)3C+ + Cl -
  • C.   2Br
    ·
    Br2
  • D.   BH3 + NF3 H3BNF3 

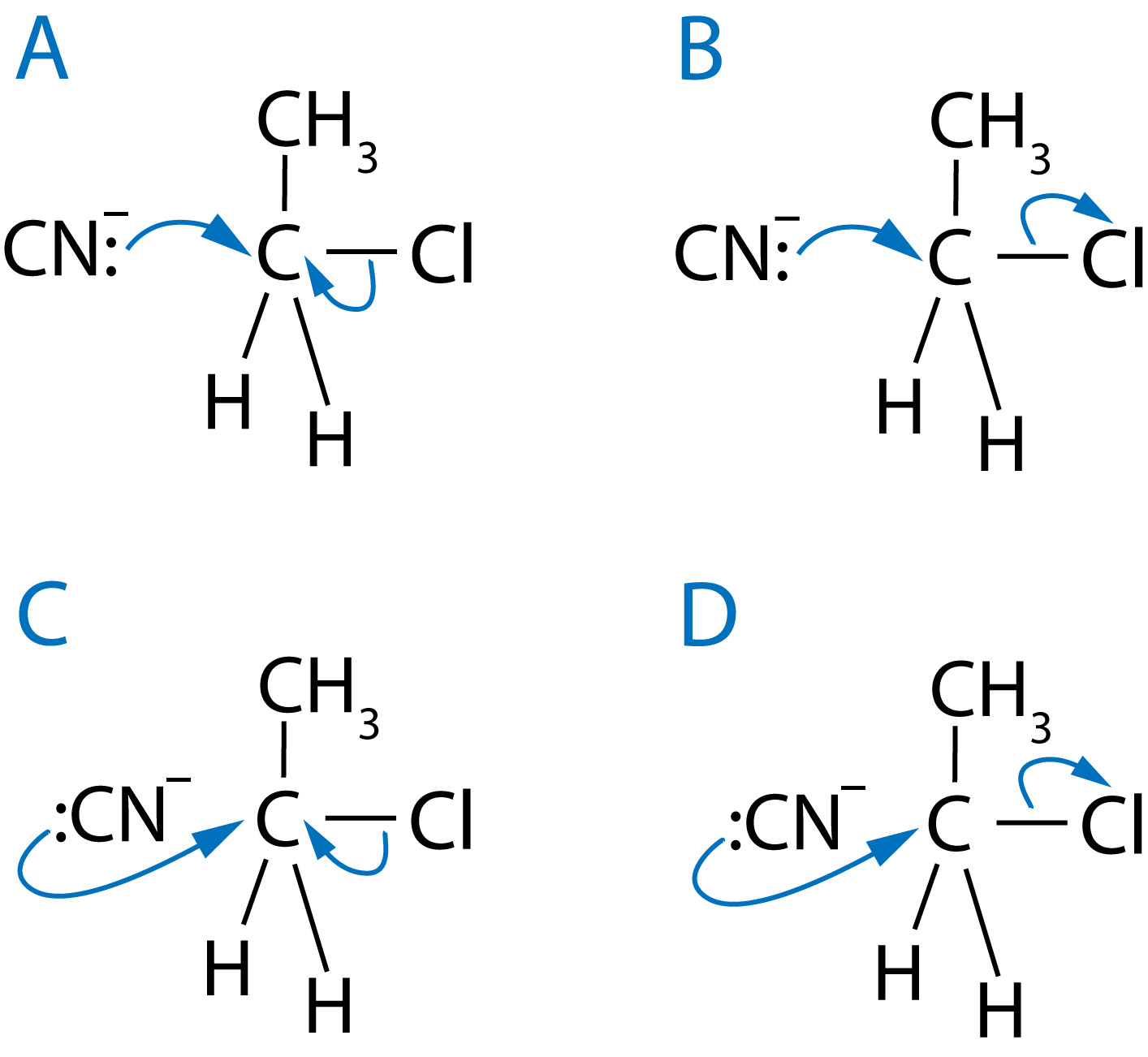
5. Which of the following curly arrows represents the mechanism of the reaction between 1-chloroethane with cyanide ion?

Philes quiz Q5

6. Below are three alkene isomers of C4H8. Which ones can form a secondary halogenoalkane when reacting with hydrogen bromide?

Alkene Isomers of C4H8

  • A.   I and II only
  • B.   I and III only
  • C.   II and III only
  • D.   I, II and III

7. Which of the following species cannot act as a nucleophile?

  • A.   OH-
  • B.   H+
  • C.   NH3
  • D.   CN-
8 In the following reaction, which part of which molecule is acting as an electrophile?

CH2=CHCH3 + HBr  CH3CHBrCH3

 
  • A.   the C=C bond of the CH2=CHCH3
  • B.   the δ+ H of the HBr
  • C.   the δ- Br of the HBr
  • D.   The δ+ C of the CH3CHBrCH3

9.  Below is a multi-stage reaction sequence to make a carboxylic acid. What is compound Y?

electrophiles Quiz Q9 root

  • A.   electrofiles Q9 option A
  • B.   electrofiles Q9 option B
  • C.   electrofiles Q9 option C
  • D.   electrofiles Q9 option D

10.  Select the correct type of reaction mechanism for reactions (1) and reaction (2).

electrofiles Q10 reaction

  (1) (2)
A. Free-radical substitution Electrophilic addition
B. Nucleophilic substitution Electrophilic addition
C. Free-radical substitution Nucleophilic addition
D. Nucleophilic substitution Nucleophilic addition